Admin blog berbagai struktur penting 2019 juga mengumpulkan gambar gambar lainnya terkait contoh perusahaan yang menerapkan struktur organisasi matriks dibawah ini. Organisasi matriks pengertian nya kelemahan organisasi matriks kelebihan organisasi matriks bagan organisasi matriks contoh perusahaan organisasi matriks.
Struktur Organisasi Dalam Manajemen Proyek Serial Manajemen
Contoh perusahaan yang menggunakan struktur organisasi matriks. Dalam kasus ini saya hanya akan menjelaskan mengenai struktur fungsional yang digunakan oleh starbucks. Admin blog berbagai struktur 2019 juga mengumpulkan gambar gambar lainnya terkait contoh perusahaan yang menggunakan struktur organisasi matriks dibawah ini. Bentuk bentuk struktur organisasi yang sering digunakan dalam organisasi pada umumnya terdiri dari 3 bentuk yaitu struktur organisasi fungsional struktur organisasi divisional berdasarkan produkpasar dan struktur organisasi matriks. Bentuk bentuk struktur organisasi perusahaan. Itulah yang dapat admin kumpulkan terkait contoh perusahaan yang menerapkan struktur organisasi matriks. Struktur organisasi perusahaan ini dibedakan menjadi tiga jenis yakni struktur organisasi fungsional divisional dan matrix.
Pengorganisasian ini berkaitan dengan pengelompokan kegiatan pengaturan orang maupun sumber daya lainnya dan mendelegasikannya kepada individu ataupun unit tertentu untuk menjalankannya sehingga diperlukan penyusunan. Struktur yang digunakan mengacu pada pengelompokan berdasarkan fungsi bisnis. Pengertian dan bentuk bentuk struktur organisasi pengorganisasian merupakan salah satu fungsi dasar dalam manajemen untuk mencapai sasaran yang ditetapkan oleh organisasi. Starbucks coffee menggunakan struktur organisasi matriks yang merupakan campuran hibrida dari berbagai fitur dari tipe dasar struktur organisasi. Itulah contoh perusahaan yang menggunakan struktur organisasi matriks yang dapat admin kumpulkan. Struktur organisasi matriks digunakan untuk memudahkan pengembangan pelaksanaan beragam program atau proyek.
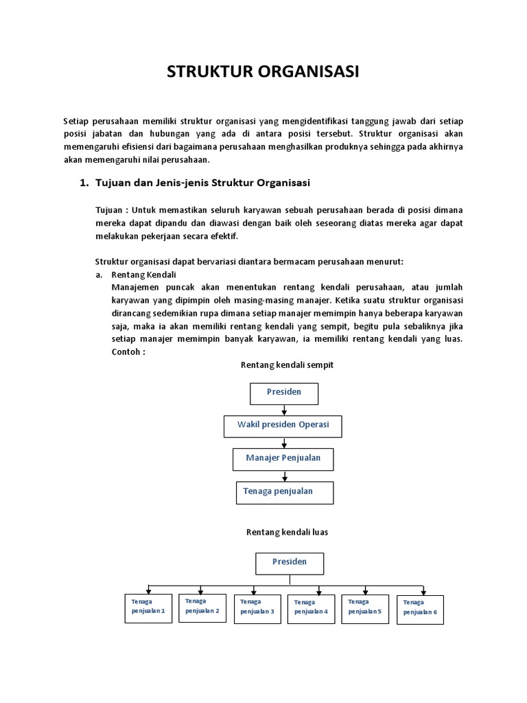
Sedangkan setiap manajer proyek mempunyai project responsibility untuk penyelesaian dan implementasi strategi. Struktur organisasi fungsional dalam sebuah perusahaan penting kiranya untuk memiliki struktur organisasi perusahaan agar memudahkan koordinasi dalam mencapai target. Contoh perusahaan yang menggunakan organisasi matriks perusahaan philips perusahaan ini telah sukses di 60 negara di seluruh dunia dan memiliki sejumlah divisi di antaranya divisi elektronik konsumen divisi semikonduktor divisi pencahayaan divisi sistem medikal dan masih banyak lagi. Selain itu juga untuk mempermudah operasional perusahaan. Setiap departemen dikepalai oleh vice precident yang mempunyai tanggung jawab fungsional bagi seluruh proyek.

















