Contoh program sederhana linked list pada bahasa pemrograman java java di dalam ilmu pengetahuan komputer sering kita mendengar tentang algoritma dan struktur data yang secara garis besar membahas terkait dengan struktur sebuah data. Contoh program menentukan bilangan positif dan.
Manipulasi Program Dengan Linked List Terminaltechno
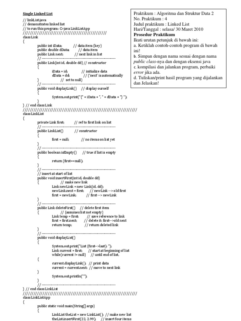
Contoh program linked list. Pengertian dan contoh program circular linked list. Linked list adalah sejumlah simpul node yang dikaitkan dengan simpul yang lain dengan bantuan pointer dalam suatu urutan tertentu. Pengertian array dan contohnya. Contoh program menentukan nilai paling tinggi ab. Definisi masalah pada masalah kali ini kita diminta membuat suatu program pembelian barang di toko yang menggunakan implementasi dari linked list dimana inputan terdiri dari nama pembeli tanggal pembelian dan barang yang akan di beli sedangkan. Contoh program c linked list 0212 posted by irfan fahrurrozi 10 comments.
Program menentukan bulan lahir dengan perulangan. Contoh program menentukan bulan lahir dengan perul. Kemudian didalam algoritma dan sruktur data terdapat sebuah metode pengoprasian data yang dikenal dengan sebutan linked list. Simpul pada doubly linked list. Bentuk dan contoh program single linked list circular pada c. Doubly linked list dl dengan 4 simpul.
Jika single linked list tersebut terdiri dari beberapa node maka pointer next pada node terakhir akan menunjuk ke node terdepannya. Perbedaan circular linked list dan non circular linked list adalah next node terakhir pada circular linked list akan selalu merujuk ke node pertama. Contoh program single linked list dan double linked list c. Pengertian dan contoh program single linked list. Mahir koding single linked list adalah salah satu bentuk implementasi dari struktur data yang paling sederhana. Seperti yang dijelaskan sebelumnya dalam konsep struktur data single linked list bisa kita analogikan sebuah balok data dalam memory yang saling terhubung satu sama lain.
Single linked list sllc adalah single linked list yang pointer nextnya menunjuk pada dirinya sendiri. Include iostream include stdioh include conioh. Contoh program source code linked list di c. Contoh 2 menambahkan element pada objek linkedlist pada contoh program berikut ini kita dapat menambahkan data pada urutan nomor index paling atas dan paling bawan dengan menggunakan fungsi addfirst dan addlast serta kita juga dapat menambahkan dan mengubah data berdasarkan nomor index tertentu menggunakan fungsi set. Contoh program menghitung belanja dalam bahasa java. Dari gambar di atas dapat kita lihat bahwa pointer kanan suatu simpul menunjuk ke simpul berikutnya dan pointere kiri menunjuk simpul sebelumnya.
Ilustrasi untuk linked list circular dapat dilihat pada gambar dibawah ini.
















