Contoh Rpp Kelas Rangkap Model 221

Contoh rpp kelas rangkap model 221 ipa kelas v. Yang bisa digunakan untuk melengkapi administarsi guru yang dapat di unduh secara gratis dengan menekan tombol download.

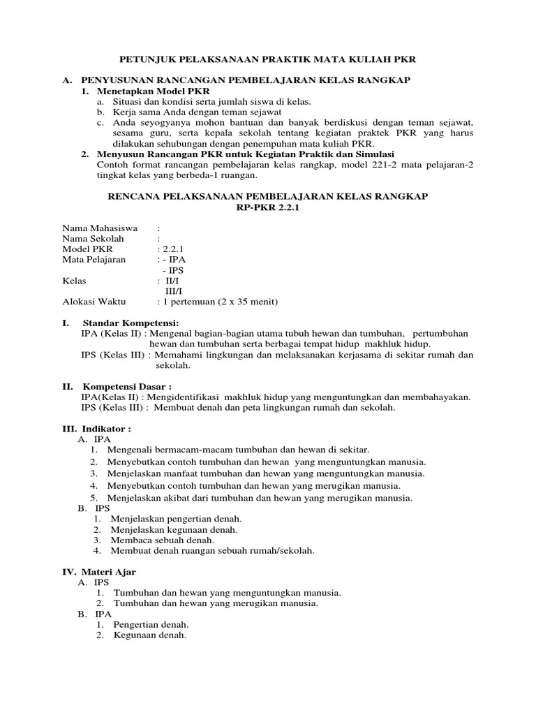
Rpp Pkr

Rpp Pkr

Contoh rpp kelas rangkap model 221. Ilmu pengetahuan sosial gejala alam 2. Menjelaskan penyebab terjadinya peristiwa alam di indonesia 3. Contoh rpp kelas rangkap model 221. Rpp kelas rangkap model 221 mei 11 2017 rencana pelaksanaan pembelajaran. Rpp kelas rangkap mata pelajaran. 2 x 35 menit.

Menyebutkan contoh peristiwa alam di indonesia 2. Berikut ini adalah contoh. Ilmu pengetahuan alam sistem pernafasan. Contoh rpp pembelajaran kelas rangkap 221docx. Kelas semester. Indikator ipa kelas v 1.

Menjelaskan dampak peristiwa alam bagi makhluk hidup dan lingkungan 4. Pada mata kuliah pembelajaran kelas rangkap pdgk 4302 defi selfia anggraini. Contoh rpp kelas rangkap. Mengidentifikasikan organ pernafasan pada manusia ips kelas iv. Upbjj ut jember. Download rpp kelas rangkap sd semester 2 model 221.

Iv i 2.

Gallery of Contoh Rpp Kelas Rangkap Model 221

Gambaran Pembelajaran Kelas Rangkap Yang Ideal Dan Praktek
Download Now
Gambaran Pembelajaran Kelas Rangkap Yang Ideal Dan Praktek
Rpp Kelas Rangkap Model 221 Kelas Rendah Guru Ilmu Sosial
Download Now
Rpp Kelas Rangkap Model 221 Kelas Rendah Guru Ilmu Sosial
Rpp Kelas Rangkap Model 221 Kelas Rendah Guru Ilmu Sosial
Download Now
Rpp Kelas Rangkap Model 221 Kelas Rendah Guru Ilmu Sosial
Rpp Kelas Rangkap Model 221 Kelas Rendah Guru Ilmu Sosial
Download Now
Rpp Kelas Rangkap Model 221 Kelas Rendah Guru Ilmu Sosial
Contoh Rpp Kelas Rangkap Model 222 Guru Ilmu Sosial
Download Now
Contoh Rpp Kelas Rangkap Model 222 Guru Ilmu Sosial
Tutorial Rpp Pkr Model 221 Youtube
Download Now
Tutorial Rpp Pkr Model 221 Youtube
Contoh Rpp Kelas Rangkap Model 221 Pdf Free Download
Download Now
Contoh Rpp Kelas Rangkap Model 221 Pdf Free Download
Contoh Rpp Pkr Revisi Sekolah
Download Now
Contoh Rpp Pkr Revisi Sekolah
Contoh Rpp Kelas Rangkap Universitas Terbuka
Download Now
Contoh Rpp Kelas Rangkap Universitas Terbuka
Video Pembelajaran Kelas Rangkap Model 221 Tidak Terprogram
Download Now
Video Pembelajaran Kelas Rangkap Model 221 Tidak Terprogram
Rpp Kelas Rangkap 2 Dan 3
Download Now
Rpp Kelas Rangkap 2 Dan 3
Contoh Rpp Pembelajaran Kelas Rangkap Model 221 Cara Mengajarku
Download Now
Contoh Rpp Pembelajaran Kelas Rangkap Model 221 Cara Mengajarku
Rencana Pelaksanaan Pembelajaran Kelas Rangkap 222
Download Now
Rencana Pelaksanaan Pembelajaran Kelas Rangkap 222
Rencana Kegiatan Harian Kelas Rangkap
Download Now
Rencana Kegiatan Harian Kelas Rangkap
Tugas Rpp Pkr 221 Nila
Download Now
Tugas Rpp Pkr 221 Nila
Rpp Kelas Rangkap Model 221 Kelas Rendah Guru Ilmu Sosial
Download Now
Rpp Kelas Rangkap Model 221 Kelas Rendah Guru Ilmu Sosial
13 Best Download Images Download Kindergarten Drawing
Download Now
13 Best Download Images Download Kindergarten Drawing
Rpp Pkr 2223
Download Now
Rpp Pkr 2223
Rencana Pelaksanaan Pembelajaran Kelas Rangkap 222
Download Now
Rencana Pelaksanaan Pembelajaran Kelas Rangkap 222