Konsep dan contoh soal distribusi normal dan z score berikut adalah cara membuat cover channel youtube dengan distribusi poisson dan contoh soal ketutrare sdp bab 10 m gugun tabel z distribusi normal menggunakan tabel distribusi normal bahan ajar biostatistik soal. é distribusi geometrik merupakan bentuk khusus dari binomial negatif dengan n kali percobaan dan berakhir ketika pertama kali ditemukan sukses.
Distribusi Poisson
Contoh soal distribusi geometrik. Distribusi geometrik diaplikasikan dalam percobaan bernoulli diulang beberapa kali sampai mendapatkan sukses yang pertama. X jumlah pengulangan sebelum mendapatkan sukses yang pertama. Tetapi sekali saja kita dinyatakan lulus maka selesai lah sudah proses nya. Yang bisa digunakan untuk melengkapi administarsi guru yang dapat di unduh secara gratis dengan menekan tombol download. Contoh format administrasi guru lengkap. Contoh soal distribusi peluang geometrik.
Nilai harapan distribusi hipergeometrik. Distribusi geometrik distribusi geomerik eksperimen geometrik sederhananya tentang kejadian lulus dari ujian kenaikan tingkat. Distribusi geometrik definisi 63 peubah acak y disebut berdistribusi geometrik jika dan hanya jika fx qx 1p x 123 μ dan 0 p 1. Pengertian dan konsep distribusi giometri. 1 dalam sebuah kotak terdapat 7 bola yang 3 diantaranya berwarna merah. Contoh diskrit mangandung jumlah titik yang terhingga dan juga peluangnya.
Satu bola berwarna merah. Jika dari dalam tersebut diambil 3 bola secara acak hitunglah peluang terambilnya bola tersebut terdapat. Tentukan peluang didapatnya dua angka pada pelemparan tersebut. Pada pelemparan tiga koin akan didapatkan ruang sampe sebagai berikut s ggg gga gag agg aag aga gaa aaa. Distribusi geometrik bila usaha yang saling bebas dan dilakukan berulang kali menghasilkan sukses dengan peluang p gagal dengan peluang q 1 p maka distribusi peluang peubah acak x yaitu banyaknya usaha sampai saat terjadi sukses yang pertama diberikan oleh. Kita akan terus mengikuti ujian berkali kali jika belum berhasil lulus.
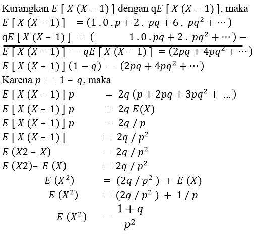
Diberikan fungsi distribusi probabilitas geometrik. Adapun macam macam distribusi diskrit adalah sebagaiberikut b. Mean exfracnkn modus mofracn1k1n2 varian varxfracnkn kn nn2n 1 baca juga. Dengan kata lain distribusi ini mewakili suatu kejadian random hingga sukses yang pertama kali terjadi. Distribusi geometrik adalah kasus khusus dari distribusi binomial negatif untuk k1 yaitu distribusi peluang banyaknya usaha yang diperlukan untuk mendapatkan sukses pertama. Contoh soal dan pembahasan distribusi binomial 1 sebuah koin dilempar 3 kali pelemparan.
Dengan cara biasa. Oleh admin diposting pada 31 agustus 2017 31 agustus 2017.












