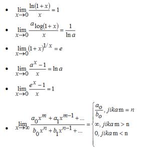
Cara cepat mengerjakan limit tak hingga pada kesempatan kali ini kita akan membahas mengenai materi rumus limit tak hingga dalam bentuk trigonometri polinomial pecahan eksonensial dan contoh soalnya. Pembaca diharapkan sudah menguasai teori limit fungsi aljabar dan trigonometri.
What Is Adobe Acrobat Assistant 8 0 Colqpassion S Diary
Contoh soal limit tak hingga trigonometri dan penyelesaiannya. Penyajian rumussimbol matematika di sini menggunakan latex sehingga lebih smooth dari segi tampilan. Nah berlatar belakang dari inilah saya membahas artikel ini secara lebih khusus agar bisa membantu teman teman yang ingin mempelajarinya atau siapa tahu tahun tahun berikutnya akan keluar lagi di soal seleksi masuk ptn lainnya. Materi tentang pengertian definisi dan rumus limit matematika baik itu rumus limit tak hingga maupun limit fungsi serta contoh soal dan pembahasan. Maka dari itu apabila disubstitusikan fungsinya akan menghasilkan nilai yang tidak menentu. Berikut ini adalah contoh soal dan pembahasan super lengkap mengenai limit khusus fungsi aljabar. Dalam pengoprasian limit fungsi aljabar terkadang juga terdapa nilai x yang mendekati tak berhingga.
Unbk sma 2019 pembahasan matematika ipa no 29 kuartil latihan. Contoh 5 soal limit fungsi trigonometri. Limit tak hingga fungsi trigonometri ini ternyata soalnya dikeluarkan pada sbmptn 2017 matematika ipa atau matematika saintek satu soal disetiap kodenya. Pada kesempatan ini m4th lab akan membahas materi limit fungsi trigonometri meliputi konsep contoh soal dan pembahasan. Berikut ini merupakan soal tentang limit tak hingga. Jadi limit fungsi trigonometri yang diberikan adalah 4.
Contoh 6 soal limit fungsi trigonometri soal un matematika tahun 2012 nilai dari. Setiap soal telah disertai pembahasan super lengkap yang disajikan secara rapi menggunakan latex. Soal soal tersebut diambil dari berbagai sumber referensi termasuk dari soal ujian nasional soal sbmptn dan soal tingkat olimpiade. Dalam pengoperasian limitnya ada beberapa hukum atau teorema limit yang perlu kalian perhatikan. Temtukan nilai limit di bawah. Berikut informasi sepenuhnya tentang contoh soal limit tak hingga trigonometri dan penyelesaiannya.
Limit fungsi aljabar tak hingga. Penyelesaian soal limit secara runut akan. Soal juga dapat diunduh dengan mengklik tautan berikut. Penjelasan tentang materi makalah teorema rumus dan kumpulan contoh soal limit fungsi trigonometri secara lengkap beserta pembahasannya. Untuk soal limit fungsi trigonometri dipisahkan dalam postingan lain karena soalnya akan terlalu banyak bila ditumpuk menjadi satu. Limit mendekati tak hingga.
P x 2. Admin blog dapatkan contoh 2019 juga mengumpulkan gambar gambar lainnya terkait contoh soal limit tak hingga trigonometri dan penyelesaiannya dibawah ini. Sebelum membahas cara menentukan nilai limit trigonometri sebaiknya memahami pengertian limit dahulu.
















