Contoh soal suhu dan pemuaian ini disusun dalam bentuk pilihan berganda dilengkapi dengan pembahasan dan dirancang sedemikian berdasarkan beberapa subtopik yang paling sering keluar dalam kajian suhu dan pemuaian untuk tingkat menengah pertama. Contoh file soal uts lengkap kelas 1 6 sdmi semua mata pelajaran 20162017 berikut ini adalah kumpulan dari berbagi sumber tentang contoh soal tentang pemuaian kls 7 yang bisa gunakan untuk bank soaldownloadsd dan diunduh secara gratis dengan menekan tombol download biru dibawah ini.
                        Pemuaian Zat Kalor Soal Dan Pembahasan Isanggar
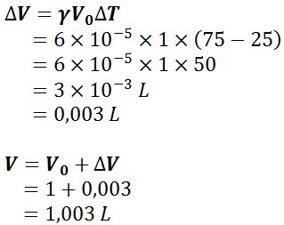
Contoh soal pemuaian kelas 7. 50 oc 235. Pertambahan panjang δl dan panjang. Supaya suhu suatu benda dapat diukur dengan menggunakan termometer hingga diketahui nilainya maka dinding kaca termometer diberi skala dengan menandai titik titik tertentu pada kaca. Materi tentang suhu dan pemuaian kita pelajari pada tingkat smp maupun smu. Pertambahan suhu δt 70 o c 20 o c 50 o c panjang awal l 1 40 cm koefisien muai panjang baja a 10 5 o c 1 ditanya. Pemuaian dapat terjadi dalam tiga kondisi yaitu pemuaian panjang hanya dialami zat padat pemuaian luas hanya dialami zat padat dan pemuaian volume dialami zat padat cair dan gas.
Nah pada kesempatan kali ini kita akan membahas tentang kumpulan contoh soal dan pembahasan tentang pemuaian panjang luas dan volume. Soal dan jawaban pemuaian smp kelas vii nomor 1. Pemasangan ban besi pada roda pedati tersebut menggunakan prinsip. 10 5 m 000235 m menghitung l1 δl l1 l0 l1 δl l0 000235 m 2 m 200235 m jawaban. δl 47 m. Guru sd smp sma contoh soal tentang pemuaian kls 7.
Setelah itu masing masing titik tersebut diberi angka untuk menunjukkan derajat panas atau dinginnya suatu benda. Koefisien muai panjang baja 10 5 o c 1pertambahan panjang baja dan panjang akhir baja pada suhu 70 o c adalah. Soal pemuaian kelas 7. Latihan soal ipa suhu dan perubahannya kelas 7 smp kurikulum 2013. Kali ini kami berikan soal latihan suhu dan pemuaian kelas 7 beserta dengan pembahasannya agar dapat lebih memahami pelajaran yang diberikan di sekolah. Contoh soal pemuaian panjang.
Guru sd smp sma soal pemuaian kelas 7. Soal ini terdiri dari 15 butir soal pilihan ganda untuk materi massa jenis dan pemuaian. Berikut ini dibagikan latihan soal ipa pemuaian kelas 7 smp kurikulum 2013latihan soal ini untuk membantu belajar peserta didik kelas 7 smpmts dalam memahami materi pemuaian. D nomor 2 pada saat dilakukan pemasangan rel kereta api suhu udara sekitar adalah 27 oc. Contoh file download contoh soal uts semester 1 tahun 2015 untuk sd semua kelas berikut ini adalah kumpulan dari berbagi sumber tentang soal pemuaian kelas 7 yang bisa gunakan untuk administrasicontoh soal dan diunduh secara gratis dengan menekan tombol download biru dibawah ini. Sebatang baja bersuhu 20 o c memiliki panjang 40 cm.
Contoh soal massa jenis dan pemuaian berikut ini merupakan contoh soal fisika untuk smp kelas 7.














